MAM1000W 2018 Test 2

 

Video Answers

Section A Multiple Choice

Question A1 (0.54)

Question A2 (0.54)

Question A3 (0.54)

Question A4 (0.54)

Question A5 (0.54)

Question A6 (0.54)

Section B Short Answer Questions

Question B1a (0.54)

Question B1b (0.54)

Question B1c (0.54)

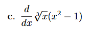
Question B1d (0.54)

Question B2 (0.54)

Section C Long Answer Questions

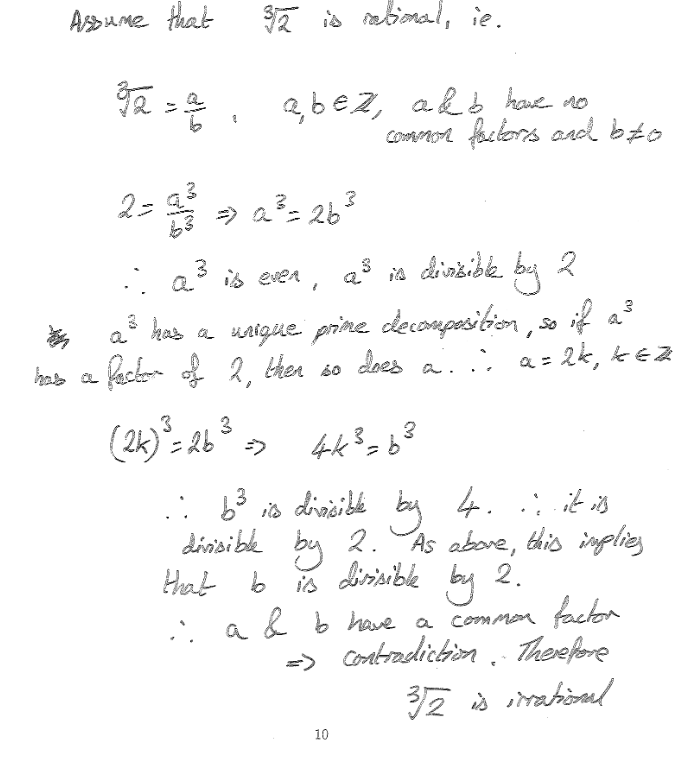
Question C1 (0.54)

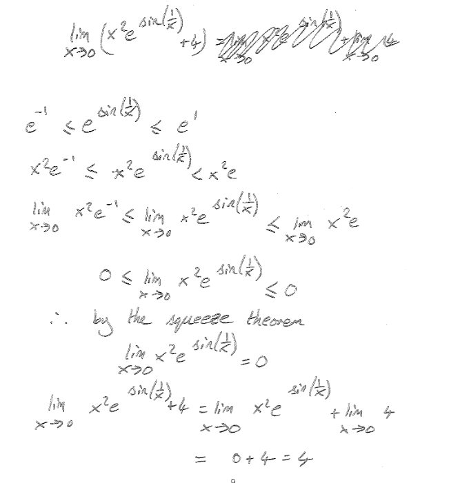
Question C2 (0.54)

Question C3 (0.54)

Question C4 (0.54)

Question C5 (0.54)

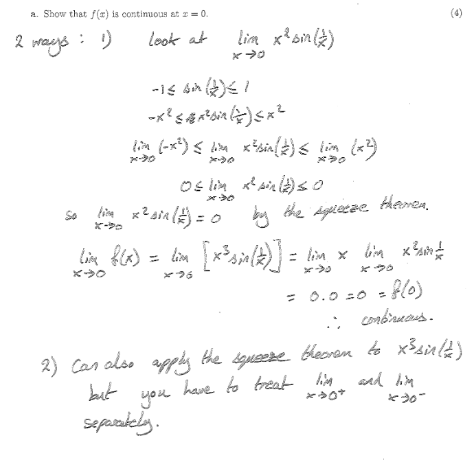
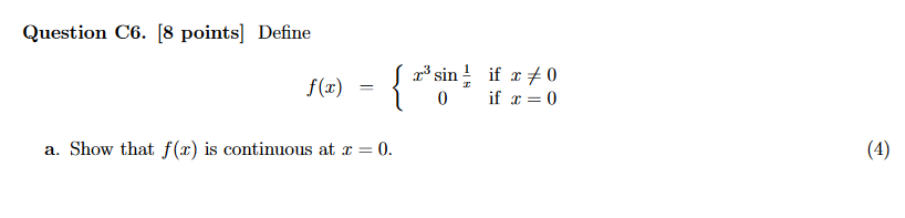
Question C6a (0.54)

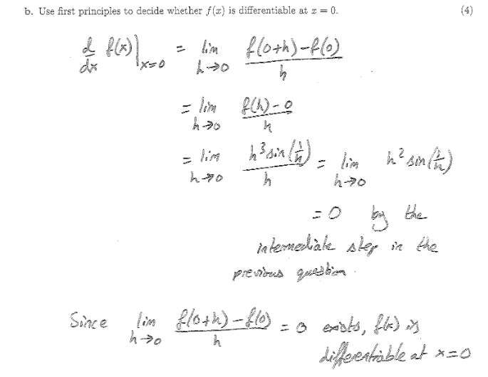
Question C6b (0.54)

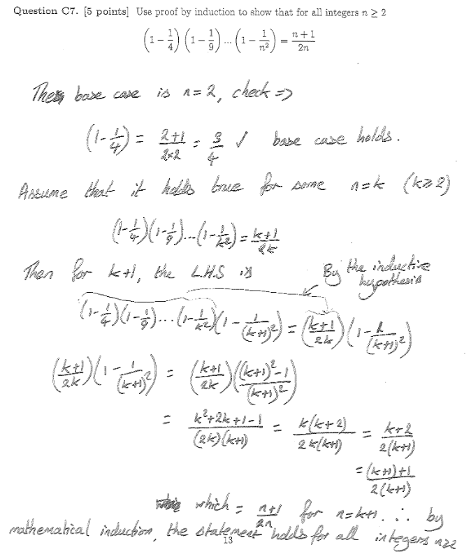
Question C7 (0.54)