APM 2018 Paper 1 Maths

 

Video Answers

Question 1.1 (a) (0.54)

Question 1.1 (b) (1.11)

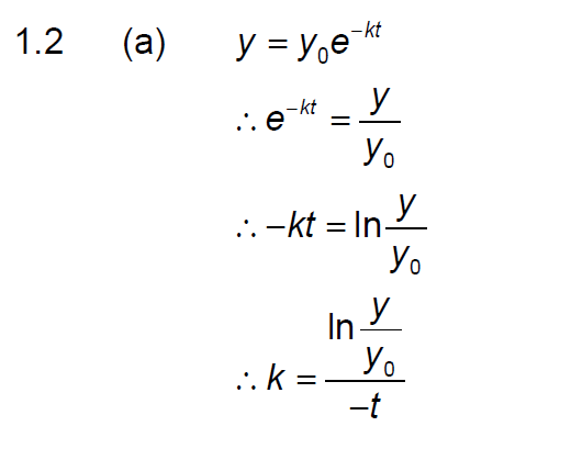
Question 1.2 (a) (3.18)

Question 1.2 (b) (3.18)

Question 1.2 (c) (3.18)

Question 2.1 (1.01)

Question 2.2 (1.01)

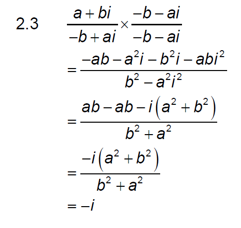
Question 2.3 (1.01)

Question 3 (3.44)

Question 4.1a (2.34)

Question 4.1b (3.32)

Question 4.2 (2.38)

Question 5.1 (1.01)

Question 5.2 (1.01)

V

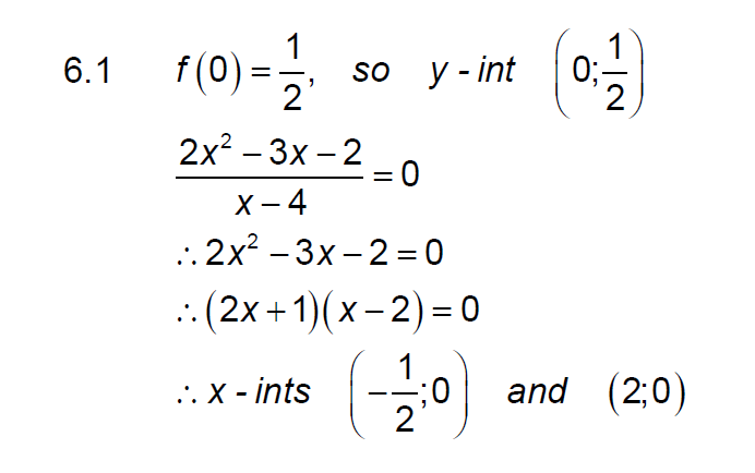
Question 6.1 (1.01)

Question 6.2 (1.01)

Question 6.3 (1.01)

Question 6.4 (1.01)

Question 7.1 (1.01)

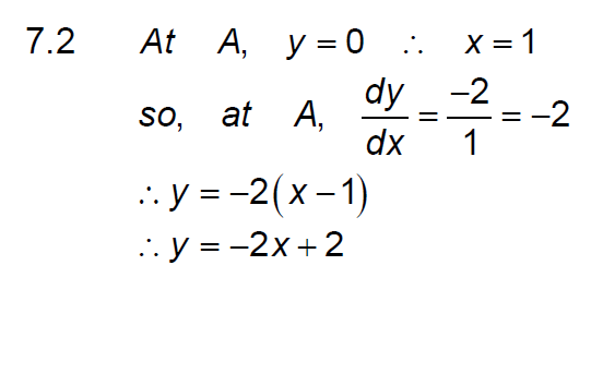
Question 7.2 (1.01)

Question 8.1 (1.01)

Question 8.2 (1.01)

Question 9.1 (a) (1.24)

Question 9.1 (b) (3.12)

Question 9.2 (1.01)

Question 10.1 (1.01)

Question 10.2 (1.01)

Question 10.3 (1.01)

Question 10.4 (1.01)

Question 11 (3.44)

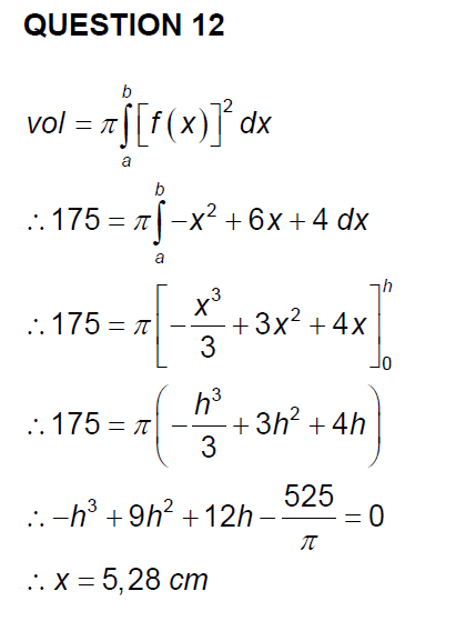
Question 12 (3.44)